140km/h地铁快线站台屏蔽门风压特性
https://mp.weixin.qq.com/s/GwvxuNA91GLdniYhZb-BXA
https://mp.weixin.qq.com/s/3yz7UinOs_FHnbHx7ATAcA
相关论文:https://doi.org/10.1016/j.tust.2021.104150

柔性薄膜颤振对柱体绕流场与气动力的调制作用
负责人:赵崇宇




1 不同长度柔性膜在来流作用下的拍动情况:低风速下,柔膜静止;达到临界风速后,大幅拍动
2 典型柔膜拍动的状态,及其在柱体顶部诱导的压力变化
3 柔膜拍动后,柱体顶部附近风压脉动被柔膜拍动所控制,频率发生明显变化
4 柔膜一旦发生拍动,柱体的整体脉动升力、阻力大幅降低
基站天线气动力


风洞实验、华为、5G、基站天线、气动力系数、外形优化
负责人:曾令伟
2019年6月初,华为科技有限公司第三次来我们实验室进行基站天线气动力系数的风洞实验。
但这一次有些与以往不同了。恰逢华为遭遇了美国政府的全面打压,且华为人员一再强调这次实验事关7月份一个项目的实施,亟需完成。
端午前,课题组曾令伟和其他同学连续加班了4天,顺利完成了华为的测试任务。
实验期间,华为公司的张工程师,以其敬业精神和严谨的态度给我们树立的学习的榜样。“所有的困难都不是问题,关键是要能解决问题”,他脱口而出的这句话深深的触动了我们。
我想,我们同学在学习和工作中,如果能有这样的精神和毅力,那任何困难也都阻挡不了我们进步的步伐了。
基站天线外形复杂,涉及了倒角、长宽比、局部细节等许多因素影响其气动力。通过我们的努力,运用被动流动控制的知识成功的解决了华为公司面临的挑战。
5G技术的竞争已涉及方方面面,连看似不起眼的气动力外形问题也成为了一个竞争点。希望我们的专业知识能够帮助华为在这个竞争点上再次战胜其德国的竞争对手。
有限长正方形棱柱尾流与气动力控制-1

不同吸气系数下,自由端剪切流形态:Q=0;Q=1;Q=3
○ 负责人:彭思
自由端狭缝吸气可以显著抑制有限长方柱的尾流与气动力,尤其是脉动升力可减小约45%,该工作为抑制超高层建筑涡振提供了新的思路。
Hanfeng Wang , Si Peng, Ying Li & Xuhui He Control of the aerodynamic forces of a finite-length square cylinder with steady slot suction at its free end. Journal of Wind Engineering and Industrial Aerodynamics, 2018, 179: 338-348.
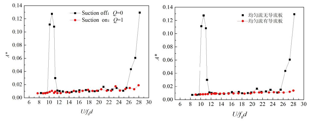
有限长正方形棱柱尾流与气动力控制-2


○ 负责人:李石清
利用顶部导流板改变自由端剪切流或者利用顶部狭缝吸气,可以显著抑制有限长正方形涡激振动 (如上图所示)
利用图像互相关方法测量曲面水膜、水线厚度


○ 负责人:李颖
利用了图像互相关算法,通过特殊的标定过程,实现了曲面上的水膜、水线测量。该方法可以用于风雨耦合作用下结构表面水膜、水线特性测量,也可用于飞机表面结冰、液膜冷却等研究领域。
地铁列车进站风压的数值模拟、近壁面圆柱涡振的数值模拟

○ 负责人:曾令伟、彭思
利用动网格技术,模拟了地铁列车进入车站时列车风所带来的风压荷载,研究了不同类型站台门情况下风压变化规律,对比了不同列车运行工况对站台门风压的应规律,为地铁站台门设计提供了依据;
利用CFD方法,研究了近壁面圆柱涡激振动的流固耦合问题
